产品中心

电力系统二次保护继电器

首页 产品中心 电力系统二次保护继电器 导轨式安装继电器 JZZS-1000分闸、合闸、电源监视综合装置
JZZS-1000分闸、合闸、电源监视综合装置
主要用于直流或交流操作的各种自动控制线路中,分别对断路器分闸(合闸)回路、控制电源进行监测。
产品特色
  • 具有信号固定延时输出及可调延时输出。
  • 体积小,能满足抽屉柜安装要求。
  • 快速导轨安装结构,适合各种导轨安装。
  • 螺钉压接式端子
JZZS-1000分闸、合闸、电源监视综合装置
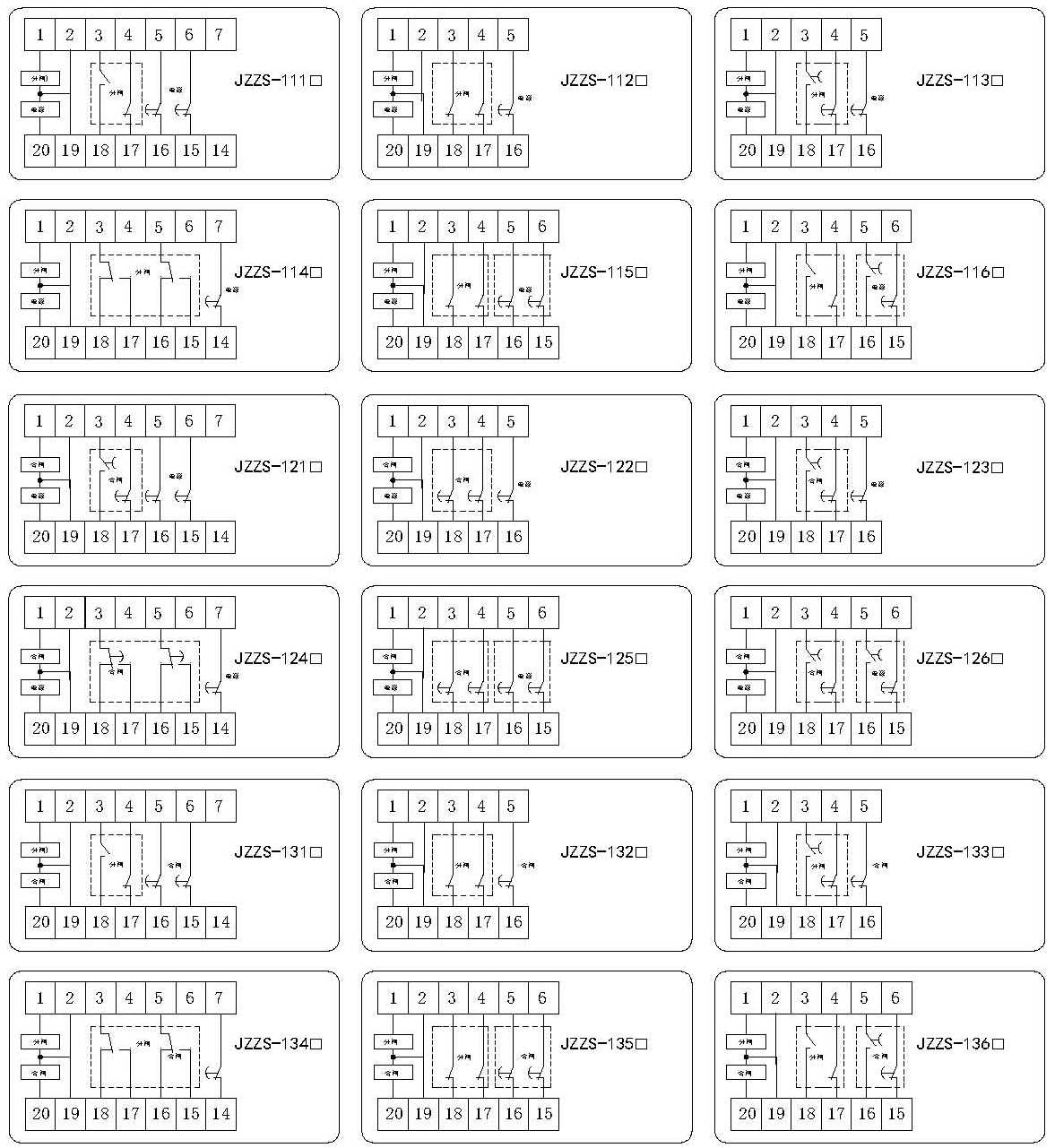
产品(型号)说明

JZZS-1000分闸、合闸、电源监视综合装置(图1)

JZZS-1000分闸、合闸、电源监视综合装置(图2)

JZZS-1000分闸、合闸、电源监视综合装置(图3)


产品优势

○ 主要用于直流或交流操作的各种自动控制线路中,分别对断路器分闸(合闸)回路、控制电源进行监测。(适合各种断路器合分闸线圈)

○ 具有信号固定延时输出及可调延时输出。

○ 体积小,能满足抽屉柜安装要求。

○ 快速导轨安装结构,适合各种导轨安装。

○ 螺钉压接式端子。

○ 外形尺寸:86×85×73。


*产品参数以实际产品说明书为准。
应用安装

JZZS-1000-jiexian.jpg

技术参数

JZZS-1000-canshu.png

资料下载
文件名 产品类型 下载
JZZS-1000分闸、合闸、电源监视综合装置 PDF文档 产品手册 文档下载